Question or remark ? Please contact us at contact@myengineeringtools.com
K coefficient can reasonably be used until Re=500, below, specific coefficients should be used.
The data of Kittredge and Rowley are reported in many books. They have tabulated the frictional loss coefficients for different fittings and valves and different Reynolds. If the flow is found to be laminar they should be used in pressure calculation instead of the coefficients calculated for turbulent flow
Table 1 : K coefficient for
calculation of pressure drop through valves and fittings in
laminar flow according to Kittredge and Rowley

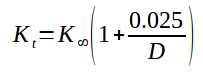
As an alternative, the method of Hopper can be used. As most of the data obtained in laminar flow, results are approximate.
The frictional loss coefficient can be calculated from the value in turbulent flow and coefficients to account for laminar flow :


Coefficient K1 can be calculated thanks to the following table.
Table 2 : K1 coefficient for
calculation of pressure drop through valves and fittings in
laminar flow with the approximation of Hooper
