Reynolds Number (Re)
Definition, calculation and reference values of the Reynolds
Number
Follow us on Twitter 
Question, remark ? Contact us at contact@myengineeringtools.com
1.
Reynolds number definition and calculation formula
2. Flow regimes - laminar and turbulent
3. Reynolds number for stirred
reactors
1. Reynolds number definition and calculation formula
What is the Reynolds number ?
The Reynolds number compares the
inertial forces to the viscous forces that apply to a fluid. It is a
dimensionless number used to determine if a fluid flow will be
turbulent or laminar.
A low Reynolds number means that
the viscosity dominates and the flow will be laminar. At high Reynolds
number, the inertial forces dominate leading to a turbulent flow.
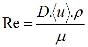
How to calculate the Reynolds number ?
Calculation (for circular pipes
only) : Re = D.u.ρ/μ
Re=Reynolds number for circular
pipe (adimensional)
D=diameter of pipe (m)
<u>=mean velocity (straight section) (m/s)
ρ=Volumic mass of the liquid (kg/m3)
μ=Dynamic viscosity (Pa.s)
2. Flow regimes ranges - laminar and turbulent
What is the Reynolds number in laminar flow or turbulent flow ?
Re<2100
: laminar regime
2100<Re<4000 : intermediary regime
Re>4000 : turbulent regime
3. Reynolds number for stirred reactors
The concept of Reynolds number can be applied in many areas of fluid
dynamics, with some slight adaptation of the formula. The formula
below is for example giving the Reynolds number for stirred reactor
Re<10 : laminar regime
10<Re<10000 : intermediary regime
Re>10000 : turbulent regime
D=diameter of agitator (m)
N=agitator speed (rps)
Source
Mecanique et Rheologie des fluides en genie chimique, Noel Midoux,
Lavoisier Tec et Doc, page 139, page 246