Menu

Equation of State

What is an equation of state ? What are the most common equations of state ?

Follow us on Twitter 
Question, remark ? Contact us at contact@myengineeringtools.com


Section summary
1. Definition of an equation of state
2. Equations of state
3. Use of equations of state

1. Definition of an equation of state

What is an equation of state ?

An equation of state represents the behavior of real fluids by linking mathematically pressure, volume, temperature and molar quantity

Equation of state = f(P,V,T,n)

With
P = absolute pressure of the gas
V = volume of the gas
n = quantity of the gas (in moles)
T = absolute temperature of the gas

From the definition above, the simplest equation of state is the ideal gas law (only for gas) and the real fluid law (with the compressibility factor). They are however very simple and are commonly not referred to as equation of state. The 1st equation of state as such is the Van der Waals equation. Other equations were later proposed.

2. Equation of states

What are the most common equations of state ?

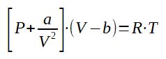
2.1 Van der Waals equation of state

Equation of state of Van Der Waals

With

a = constant depending on the gas, the ratio a/V2 is called the bonding pressure. It described that real gases have a pressure less than the ideal gas modelization
(Preal_gas = Pideal_gas - a/V2)
b = constant depending on the gas and is called co-volume. It represents the fact that real molecules take more space than ideal ones, creating a bigger volume of gas
(Vreal_gas = Videal_gas + b)

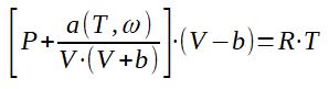
3.2 Redlich-Kwong equation of state

Redlich Kwong equation of state

The parameters a and b can be calculated thanks to the critical conditions of the substance.

To be noted the alternative expression of the Redlich-Kwong equation that can be obtained by changing the variables :

Redlich Kwong equation with variable change

A and B can then be expressed as a function of the reduced temperature, reduced pressure and critical pressure which allows to perform calculations easier.

To be noted that the equation of state also applies to gas mixtures by summing the A and B parameters of each constituants ponderated by the molar fraction of the component in the mixture (Am = sum of yi.Ai and Bm = sum of yi.Bi).

3.3 Soave-Redlich-Kong equation of state

Soave Redlich Kwong equation of state

3.4 Peng-Robinson equation of state

Peng Robinson equation of state

3. Use of equations of state

What can be calculated with the equation of states ?

The following fluids properties can be calculated thanks to an equation of state :

  • Volume of the fluid
  • Density of the fluid
  • Vapor pressure
  • Liquid vapor equilibria
  • Enthalpy of the fluid
  • Entropy of the fluid

Note : liquid vapor equilibria are calculated thanks to fugacity coefficients. Enthalpy and entropy are calculated by correcting the value obtained for an ideal gas

Only few equations of states among all that have been proposed are mentioned in this page. It is difficult to define the "best" equation of state. It is more accurate to say that each equation of state is working better than other in specific conditions, up to the engineer to chose the equation of state better adapted to the conditions he wishes to represent.