Follow us on Twitter ![]()
Question, remark ? Contact us at contact@myengineeringtools.com
| Section summary |
|---|
| 1. Correction
coefficients applied in Bell-Delaware method |
| 2. Calculation of
correction coefficients of the Bell-Delaware method |
| 3. Calculation of the heat transfer coefficient on the shell side of a shell tube heat exchanger |
The Bell-Delaware method allows to calculate the heat transfer coefficient of a Shell-Tube heat exchanger on the shell side. It is based on the application of correction coefficients to an ideal heat transfer coefficient on the shell side. Those coefficients are the following :
This page is detailing how to calculate each correction coefficient.
This correction factor is depending on the number of tubes that are located in cross flow (means they are covered by the baffle and the flow is forced through them). The factor FCT is then representing the fraction of the number of tubes in cross flow over the total number of tubes.
With :
DC = Shell diameter (m)
DCCF = tube bundle diameter (from most external tubes)
(m)
h = baffle cut (m)
The value of FCT is then used with the following Abacus to calculate kch :
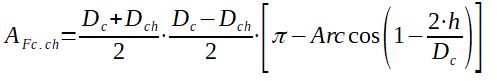
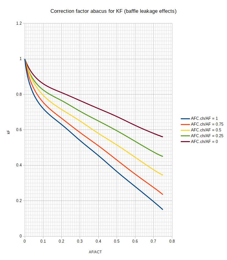
kF is accounting for leakages due to the bypass of the baffles. The flow can leak through the space around the baffle, or through the space in between the tubes and the baffles.
With :
DC = Shell diameter (m)
DCCF = tube bundle diameter (from most external tubes)
(m)
h = baffle cut (m)
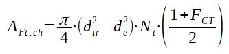
With :
de = tube outside diameter (m)
dtr = baffle hole diameter (m)
FCT as calculated in paragraph 2.1
The total leakage area is the sum of the leakage in between the baffle and the shell, and in between the baffle and the tubes.
AF=AFc.ch + AFt.ch
kF is determined according to the following abacus :
With AF as calculated in paragraph 2.2.3, AFc.ch as calculated in paragraph 2.2.1 and ACT as calculated here.
This correction coefficient accounts for tube bundle bypass. It depends on the number of sealing strips that are used in the heat exchanger.
An abacus given by Bell is also given for the calculation but different parameters must 1st be calculated.
Sealing strips come by pairs. They are generally in between 1 to 4 pairs, the number of pairs is noted NDL.
ABP = (DC - DCCF)*B
DC = Shell diameter (m)
DCCF = tube bundle diameter (from most external tubes)
(m)
B = Baffle spacing (m)
FBP = ABP / ACT = [(DC-DCCF)*B]/ACT
With :
DC = Shell diameter (m)
DCCF = tube bundle diameter (from most external tubes)
(m)
ACT as calculated here
This value depends on the tube layout used.
With :
DC = Shell diameter (m)
P = tube layout pitch (m)
h = baffle cut (m)
kBP is determined according to the following abacus by calculating the ratios NDL/NCT as well as the Reynolds.
In case the flow on the shell side is laminar, the dynamic of the fluid changes completely and an additional correction coefficient must be applied.
kRe = 1 if Re < 20 or Re > 100, in this case no
need to go through the calculation procedure given below.
The number of baffle can be calculated by :
Nch = L/B - 1
With
L = tube length (m)
B = Baffle spacing (m)
This value depends on the tube layout used.
With :
DC = Shell diameter (m)
DCCF = tube bundle diameter (from most external tubes)
(m)
P = tube layout pitch (m)
h = baffle cut (m)
NCT + NOF
kRE is calculated thanks to 2 abacus. The 1st abacus allows to get an intermediary coefficient k*RE and the second abacus, using k*RE, allows to calculate kRE.
The coefficient calculated above can be used to calculate the heat transfer coefficient the following way :