Follow us on Twitter ![]()
Question, remark ? Contact us at contact@myengineeringtools.com
| Section summary |
|---|
| 1. Shell-Tube heat
exchangers |
| 2. Shell-Tube heat
exchanger calculation procedure |
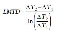
With
ΔT1 = temperature difference on one side of the heat
exchanger (end 1)
ΔT2 = temperature difference on the other side of the
heat exchanger (end 2)
The LMTD allows to represent the driving force of heat exchange along the exchanger and accounts for the fact that the difference in between the cold side and the hot side is changing all along the equipment. The use of the LMTD is valid for co-axial heat exchangers.
Typical examples of temperature profiles along co-axial heat exchangers, for co-current and counter current are given below :

The LMTD in the case of counter-current is noted LMTDcc.
Example :
Counter current HX with
Very few heat exchangers are purely co current or counter current, which allows to apply the LMTD. Most of the them will be partially co current and partially counter current. It is quite easy to visualize it for a 2 pass tube / 1 pass shell heat exchanger for example.
In this case, the LMTD must be corrected by a coefficient F which accounts for those non idealities. F can be calculated from abacus.