Follow us on Twitter ![]()
Question, remark ? Contact us at contact@myengineeringtools.com
| Section summary |
|---|
| 1. STEP 1 : Get the
design data |
| 2. STEP 2 : Apply
the heat transfer equation |
| 3. Tank cooling time |
| 4. STEP by STEP Example |
| 5. Free Excel calculation tool for tank
heating or cooling time calculation |
This page is giving a calculation method to determine the time required to heat up a tank equipped with an internal heating coil.
Tank heating is required in many process applications. For example in chemical industries, batch reactors are often equipped with an internal coil which will increase the temperature to an optimal level for the reaction to happen.
The Engineer, when designing or operating the tank must then calculate how long it will take to heat up the reactor.

Assumptions :
The following data must be gathered in order to perform the calculation :
Sizing data of the heating coil :
Process operation parameters :
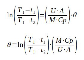
The following formula is applied to calculate the increase of temperature of the material in the tank over time [Chopey] :
With :
T1 = Temperature of the heating fluid (K)
t1 = Initial tank temperature (K)
t2 = target tank temperature (K)
U = overall heat transfer coefficient of the internal heating coil
(W/m2.K)
A = heat exchange area of the internal heating coil (m2)
M = weight of material to heat in the tank (kg)
Cp = specific heat of the material (kJ/kg/K)
θ = time required to heat up the tank (s)
Tank cooling time can be calculated by using the same formula as above but changing the temperatures as the batch temperature becomes the hot source while the cold source is the cooling media.
The same assumptions are required to make the calculation meaningful (isothermal cooling fluid, large batch, internal cooling coil).
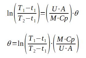
The tank cooling time can be calculated thanks to the following equation :
With :
t1 = Temperature of the cooling fluid (K)
T1 = Initial tank temperature (K)
T2 = target tank temperature (K)
U = overall heat transfer coefficient of the internal cooling coil
(W/m2.K)
A = heat exchange area of the internal cooling coil (m2)
M = weight of material to cool in the tank (kg)
Cp = specific heat of the material (kJ/kg/K)
θ = time required to cool down the tank (s)
The following tank must be heated up from 20°c to 50°c :
How long will it take to heat up the material in the tank ?
T1 = Temperature of the heating fluid (K) = 433 K
t1 = Initial tank temperature (K) = 20+273.15 = 293.15 K
t2 = target tank temperature (K) = 50+273.15 = 323.15 K
U = overall heat transfer coefficient of the heating coil (W/m2.K)
= 900 W/m2.K
A = heat exchange area of the heating coil (m2) = 5 m2
M = weight of material to heat in the tank (kg) = 12000 kg
Cp = specific heat of the material (kJ/kg/K) = 2.4 kJ/kg/K
ln ((T1 - t1)/(T1-t2)) = ln ((433-293.15)/(433-323.15)) = 0.2415
MCp / UA = (12000 * 2400) / (900*5) = 6400
teta = 0.2415*6400 = 1545 s = 25.76 min = 0.43 h
The time to heat up a tank can be calculated thanks to this free
Excel calculator : Calculation Tool - tank heating or cooling
time calculator (click here)
Warning : this calculator is provided to illustrate the concepts mentioned in this webpage, it is not intended for detail design. It is not a commercial product, no guarantee is given on the results. Please consult a reputable designer for all detail design you may need.
Sources
[Chopey] Handbook of Chemical Engineering calculations, Chopey et al, McGraw Hill, 2004