Follow us on Twitter ![]()
Question, remark ? Contact us at contact@myengineeringtools.com
| Section summary |
|---|
| 1. Definition of
heat conduction |
| 2. Heat conduction
through a wall |
| 3. Heat conduction through a composite
wall |
| 4. Free Excel calculator for heat wall
conduction |
It is possible to calculate the heat flux through a wall by conduction, knowing the temperatures on each surface of the wall and the thermal conductivity of the material constituting the wall. It is also possible to calculate the heat flux of a wall submitted to convection on both sides, knowing the heat transfer coefficient of each convection phenomena as well as the temperature of the gas on each side.
However those calculations are sometimes not enough, especially when having select refractants, in order to make sure that they can handle the temperature they will be submitted to, or in order to calculate a surface temperature for safety reasons or to check if condensation will happen on the wall. The following cases requiring a temperature profile calculation can therefore be highlighted :
Hot application : checking that refractory materials will be submitted to acceptable temperature / design the best refractory arrangement
Hot application : making sure the surface temperature is low enough to be safe
Cold application : making sure the surface temperature is high enough to be safe and / or not create icing or condensation
The calculation procedure explained in this page applies to plane
wall, monomaterial or made of several layers, submitted to gas
convection on both sides.

Figure 1 : Simultaneous heat
transfer by convection and conduction
A typical problem is to calculate a temperature profile knowing the temperature of the gas on each side, and having an estimation of the convection coefficient on each side. The composition of the wall in terms of materials and thermal conductivity is known.
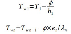
The calculation is actually iterative, it is necessary to make an assumption on the wall temperature on one side and check if the wall calculation is looping properly. The hypothesis on the wall temperature can be done after analyzing the heat resistances on both sides of the wall. For example, if on one side, the fluid is a liquid and on the other it is a gas, it is reasonable to think that the heat transfer coefficient on the liquid side will be very high and therefore the wall skin temperature on this side will be close to the temperature of the liquid. After estimating the temperature of one wall, the other layer temperatures are estimated and the thermal conductivity calculated - see STEP 2.
A typical dependence of the thermal conductivity on temperature is :
λ = a.T2+b.T+c
With :
λ = material thermal conductivity in W/m.°c
T = temperature of the material
a,b,c coefficients specific of the material
If there is a big temperature gradient in between both sides of the material it will be required to calculate an average thermal conductivity.
With the assumption above, the temperature Tw1 is known. The other temperatures are also estimated and the thermal conductivity of each layer is calculated.
The overall heat transfer coefficient for a wall, composite, exposed to convection on both sides can be expressed the following way :
1/U = R = 1/h1+e1/λ1 +ei/λi + ... +en/λn +1/h2
With :
U = overall heat transfer coefficient in
W/m2.°c
R = overall heat transfer resistance in m2.°c/W
h1 = convection heat coefficient on side 1 in W/m2.°c
h2 = convection heat coefficient on side 2 in W/m2.°c
ei = wall thickness in m of the layer i
λi = material thermal conductivity in W/m.°c of the layer
i
Note : it may be also required to include an additional fouling resistance to the calculation of the overall heat transfer coefficient. See this page.
The heat flux, which is the heat transferred expressed as a function of the heat exchange area, can be calculated the following way :
Φ = Q/A = U.ΔT
With :
Φ = heat flux in W/m2
Q = heat transferred in W
U = overall heat transfer coefficient in W/m2.°c
A = heat transfer area in m2
ΔT = temperature difference of the fluids on each side of the wall
in °c
The expressions can then be summarized as :
Φ = Q/A = U.(T1-T2)
= (T1-T2)/R
With :
T1 = temperature of the
hot fluid on one side of the wall in °c
T2 = temperature of the cold fluid on the other side of
the wall in °c
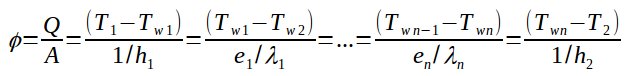
The heat flux is actually constant through the different layers of the composite wall. It is then possible to express it this way :

With :
Φ = heat flux in W/m2
Q = heat transferred in W
A = heat transfer area in m2
T1 = temperature of the fluid on side 1 in °c
T2 = temperature of the fluid on side 2 in °c
Tw1 = temperature on the surface of the wall on side 1 in °c
Twi = temperature at the interface in between layers i-1 and i in °c
Twn = temperature on the surface of the wall on side 2 after n
layers of materials in °c
h1 = convection heat coefficient on side 1 in W/m2.°c
h2 = convection heat coefficient on side 2 in W/m2.°c
ei = wall thickness in m of the layer i
λi = material thermal conductivity in W/m.°c of the layer i
The calculation can be made directly by determining each temperature sequentially.

With thermal conductivity varying with the temperature
STEP 6 : compare the calculated values to the assumption
The calculated profile is compared to the assumption done in STEP 2. If those values are equal, the thermal profile has been determined and the calculation is stopped. If the difference in between assumed and calculated values is significant, the calculation is restarted at STEP 2 using calculated values determined at the previous iteration.
The example below illustrate how to calculate the temperature profile of a wall.
The conditions are the following :
The material thermal conductivity can be calculated with the following data :
λ = a.T2+b.T+c in kcal/h.m.°c
| a | b | c | |
| A | 0 | 1.10-4 | 0.22 |
| B | 9.6.10-8 | 4.44.10-5 | 4.56.10-2 |
| C | 2.39.10-7 | 2.10-5 | 3.36.10-2 |
Looking at the data, it can be remarked that the heat transfer coefficient by convection is much higher on the hot side, we can therefor think that the wall will be hot.
We assume :
| Air | Tw1 | Tw2 | Tw3 | Tw4 | Air |
| 1000c | 950°c | 750°c | 600°c | 50°c | 20°c |
Calculate the thermal conductivity
The average thermal conductivity for the 1st layer is calculated in between 950°c and 750°c. It is equal to 0.305 kcal/h.m.°c.
Thermal conductivity of the layer 2, average in between 750 and 600°c, is 0.119 kcal/h.m.°c
Thermal conductivity of the layer 3average in between 600 and 50°c, is 0.065 kcal/h.m.°c
1/U = 1/50 + 0.1/0.305 + 0.03/0.119 + 0.08/0.065 + 1/15 = 1.89 h.m2.°c/kcal
Φ = U.(T1-T2) = 1/1.89 * (1000-20) = 518.4 kcal/h.m2
Tw1 =989.6°c
Tw2 = 819.7°c
Tw3 = 689.3°c
Tw4 = 54.6°c
T2 = 20°c
The values calculated are significantly different from those assumed. The calculation is run by using these new values as input. The calculation is done after 4 iterations, the values are expressed in °c :
| Iterations | 0 | 1 | 2 | 3 | 4 |
| Tw1 | 950 | 989.63 | 988.55 | 988.68 | 988.68 |
| Tw2 | 750 | 819.64 | 804.25 | 805.99 | 805.97 |
| Tw3 | 600 | 689.28 | 675.90 | 676.48 | 676.62 |
| Tw4 | 50 | 54.56 | 58.14 | 57.71 | 57.72 |
This type of calculation can be applied to the insulation of a hot wall, for example in case of chimney of a furnace, to make sure the heat loss is low, the refractory materials are submitted to temperature not too high compared to their design, and that the wall is cold enough to be safe.
It is also used in the other way around, to make sure the surface temperature of a wall is hot enough in order to avoid condensation - means the wall surface temperature is higher than the dew point of the air in contact with it. This can be useful for example when calculating insulation thickness for an air conditioning duct.
