Follow us on Twitter ![]()
Question, remark ? Contact us at contact@myengineeringtools.com
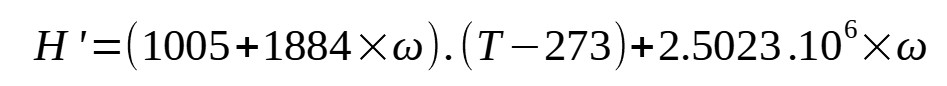
The enthalpy of the humid air is, at a given pressure, the energy necessary to heat 1 kg of dry air from the reference temperature T0 to the temperature T, to vaporize at T0 the quantity of water in the humid air having an absolute humidity of ω, and to heat up the water vapor from T0 to T.
H' = Cp'.(T-T0) + ω.Λ0

With :
H' = enthalpy of humid air (J/kg_dry_air)
Top 5 Most
Popular
1. Compressor
Power Calculation
2. Pump Power Calculation
3. Pipe Pressure
Drop Calculation
4. Fluid Velocity in pipes
5. Churchill Correlation
(friction factor)
H' = (1005 + 1884*ω).(T-273) + 2.5023.106.ω

MyEngineeringTools.com has developed a free Excel calculator that allows you to calculate the enthalpy of humid air, knowing the absolute humidity and the temperature, it allows also many other calculations related to humid air : Humid air enthalpy calculator Excel
Warning : this calculator is provided to illustrate the concepts mentioned in this webpage, it is not intended for detail design. It is not a commercial product, no guarantee is given on the results. Please consult a reputable designer for all detail design you may need.