Follow us on Twitter ![]()
Question, remark ? Contact us at contact@myengineeringtools.com

and 
Please find below some Excel calculation tools for pressure drop in pipes
Pressure
drop Excel calculation tool for incompressible (= liquid) flow
Pressure
drop Excel calculation tool for compressible (= gas) flow, non
choked

Pressure drop refers to the reduction in pressure within a piping system due to friction between the fluid and the pipe walls, as well as local obstructions (e.g., elbows, valves, or contractions). It is calculated using formulas such as the Darcy-Weisbach equation or the Hagen-Poiseuille equation, depending on the flow regime (laminar or turbulent).
For laminar flow (Re < 2000), pressure drop is calculated using the Hagen-Poiseuille equation: \[ \Delta P = \frac{128 \mu L Q}{\pi d^4} \] Where: - \(\mu\) = dynamic viscosity of the fluid, - \(L\) = pipe length, - \(Q\) = volumetric flow rate, - \(d\) = pipe diameter.
Linear pressure drop is caused by continuous friction along the pipe, while singular pressure drop is due to local obstructions like elbows, valves, or contractions. The total pressure drop is the sum of both.
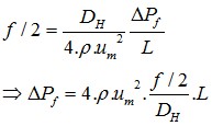
The Darcy-Weisbach equation is used for turbulent flow: \[ \Delta P = \frac{f L \rho v^2}{2 d} \] Where: - \(f\) = friction factor (depends on Reynolds number and pipe roughness), - \(L\) = pipe length, - \(\rho\) = fluid density, - \(v\) = fluid velocity, - \(d\) = pipe diameter.
Key factors include: - Fluid viscosity and density, - Fluid velocity, - Pipe length and diameter, - Pipe internal roughness, - Presence of singularities (elbows, valves, etc.).
To reduce pressure drop, you can: - Increase pipe diameter, - Reduce fluid velocity, - Minimize the number of singularities, - Use pipes with lower roughness.
Yes, our page offers free Excel tools for calculating pressure drop, whether for laminar or turbulent flow. These tools account for parameters like length, diameter, viscosity, and fluid velocity.
The friction factor \(f\) is determined using the Moody diagram or the Colebrook-White equation, based on the Reynolds number and the relative roughness of the pipe.
Calculating pressure drop is crucial for properly sizing pumps, avoiding overpressure or insufficient flow rates, and optimizing the energy efficiency of the system.
You can download our free Excel tool directly from this page. It includes practical examples and pre-filled templates to help you get started.
Download
pressure drop for incompressible flow
Download
pressure drop for compressible flow
Top
5 Most Popular
1. Pressure drop
2. Reynolds Number
3.
Pressure drop K coefficients
4. Churchill equation
5. Moody diagram