Follow us on Twitter ![]()
Question, remark ? Contact us at contact@myengineeringtools.com
| Section summary |
|---|
| 1. Formula - isentropic compression |
| 2. Usual values |
| 3. Polytropic compression |
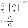
For 1 compressor stage

Note : in case of multi staged compressor, if the compression ratio
of each stage is unknown, it can be assumed at 1st approximation
that τone stage=τ1/n
For air Cp/Cv=1.4
Top 5 Most
Popular
1. Compressor
Power Calculation
2. Pump Power Calculation
3. Pipe Pressure
Drop Calculation
4. Fluid Velocity in pipes
5. Churchill Correlation
(friction factor)
Polytropic compression calculation, used for centrifugal compressors, is giving a discharge temperature higher than the isentropic compression model.
However, to be able to calculate the polytropic compression discharge temperature, it is necessary to know the polytropic compression coefficient n of the compressor. The polytropic coefficient can be calculated by knowing the polytropic efficiency of the compressor, given by the manufacturer, and an abacus.

Figure 1 : principle of an abacus allowing to calculate the polytropic coefficient for a centrifugal compressor
The same formula used for isentropic discharge temperature
calculation can be applied but by replacing the isentropic
coefficient by the polytropic coefficient.
T2 = T1.τn
With
T1=Temperature entry compressor (K)
p1=Initial pressure (bar abs)
T2=Temperature outlet compressor (K) - isentropic
discharge temperature
p2=Final pressure (bar abs)
τ=p2/p1
n=polytropic coefficient
Source
Pneumatic Conveying Design Guide, David Mills, Elsevier Butterworth-Heinemann, 2004