Follow us on Twitter ![]()
Question, remark ? Contact us at contact@myengineeringtools.com
| Section summary |
|---|
| 1. Definition |
| 2. Calculation |
| 3. Use |
What is the pump head ?
The pump head is the actual pressure developped by a pump. It is expressed in vertical m of liquid (water for pump characteristics graphs).
The pump head takes into consideration the difference of pressure in between suction and discharge but also the speed difference, all converted to m of liquid.
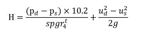
How to calculate the pump head ?
Equation 1 : Pump Head
With
ps : pressure at suction (bar)
pd : pressure at discharge (bar)
spgr4t : specific gravity of the liquid processed
us : velocity at suction (m/s)
ud : velocity at discharge (m/s)
Pump head is a key piece of information found on pump characteristic.

Figure 1 : Pump characteristic curve