Follow us on Twitter ![]()
Question, remark ? Contact us at contact@myengineeringtools.com
At the scale of a factory, regular Darcy equation can be used to calculate the pressure drop of compressible fluids in pipe provided the calculated pressure drop is < 40% of the inlet pressure :
However if the pressure drop is higher than 40% of the inlet pressure, which can happen in long pipelines (natural gas pipeline for instance) then other equations should be done. The objective of this page is to detail which equations can be used in this case.
The 1st equation that is often referred to for calculations with significant pressure drop (>40% of inlet pressure) in long pipelines for gases is the isothermal equation. This can be used if the following assumptions can be done :
If those conditions are met, the characteristics of the flow can be determined by solving the following equation (complete isothermal equation) :

With :
w = flow rate of gas in pipeline (lb/s)
g = gravitational acceleration (32.174 ft/s2)
A = cross sectional area of the pipe (ft2)
V1 = specific volume of the fluid (ft3/lb)
f = friction factor
L = Length of the pipe (ft)
D = internal diameter of the pipe (ft)
P1' = absolute pressure at the beginning of the pipe (Psi abs)
P2' = absolute pressure at the end of the pipe (Psi abs)
Note that there is a simplified version of the isothermal equation for gas pipelines (provided the pipe is long enough to be able to neglect the acceleration, and temperature change <= 10F) :

With :
q'h = flow of gas at standard condition (standard ft3/h)
Tb = absolute temperature at standard conditions (520 R)
Pb' = absolute pressure at standard conditions (14.7 Psi abs)
P1' = absolute pressure at the beginning of the pipe (Psi abs)
P2' = absolute pressure at the end of the pipe (Psi abs)
f = friction factor
Lm = length of pipe (miles)
Tavg = average temperature (R) - calculated as arithmetic mean in
between beginning and end of pipe if temperature does not change by
more than 10F
Sg = specific gravity of a gas relative to air = ratio of molecular
weight of the gas to that of air
d = pipe internal diameter (in)
The Weymouth equation can be used for gas pipelines if :
The Weymouth equation has the following form :

With :
q'h = flow of gas at standard condition (standard ft3/h)
E = efficiency factor (-)
Tb = absolute temperature at standard conditions (520 R)
Pb' = absolute pressure at standard conditions (14.7 Psi abs)
P1' = absolute pressure at the beginning of the pipe (Psi abs)
P2' = absolute pressure at the end of the pipe (Psi abs)
Lm = length of pipe (miles)
Tavg = average temperature (R) - calculated as arithmetic mean in
between beginning and end of pipe if temperature does not change by
more than 10F
Sg = specific gravity of a gas relative to air = ratio of molecular
weight of the gas to that of air
d = pipe internal diameter (in)
The efficiency factor is taking into consideration the singularities that will be present in long pipelines (valves...). It is in between 0.85 and 1. It is normally applied to Panhandle equation but it can also be applied to Weymouth equation.
Top
5 Most Popular
1. Pressure drop
2. Reynolds Number
3.
Pressure drop K coefficients
4. Churchill equation
5. Moody diagram
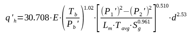
3.1 Panhandle A equation : partially turbulent flow
The Panhandle A equation is expressed the following way :

With :
q'h = flow of gas at standard condition (standard ft3/h)
E = efficiency factor (-)
Tb = absolute temperature at standard conditions (520 R)
Pb' = absolute pressure at standard conditions (14.7 Psi abs)
P1' = absolute pressure at the beginning of the pipe (Psi abs)
P2' = absolute pressure at the end of the pipe (Psi abs)
Lm = length of pipe (miles)
Tavg = average temperature (R) - calculated as arithmetic mean in
between beginning and end of pipe if temperature does not change by
more than 10F
Sg = specific gravity of a gas relative to air = ratio of molecular
weight of the gas to that of air
d = pipe internal diameter (in)
The Panhandle B equation is expressed the following way :

With :
q'h = flow of gas at standard condition (standard ft3/h)
E = efficiency factor (-)
Tb = absolute temperature at standard conditions (520 R)
Pb' = absolute pressure at standard conditions (14.7 Psi abs)
P1' = absolute pressure at the beginning of the pipe (Psi abs)
P2' = absolute pressure at the end of the pipe (Psi abs)
Lm = length of pipe (miles)
Tavg = average temperature (R) - calculated as arithmetic mean in
between beginning and end of pipe if temperature does not change by
more than 10F
Sg = specific gravity of a gas relative to air = ratio of molecular
weight of the gas to that of air
d = pipe internal diameter (in)
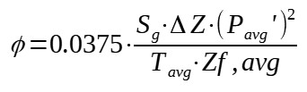
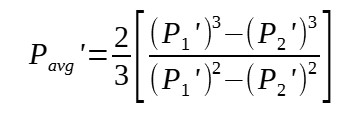
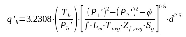
All the equations above are based on the assumption of perfect gas, it means that they are limited in their application to relatively low pressures. To be able to calculated the pressure drop at higher pressure (up to 3200 Psi g), the compressibility factor must be added to the equations. These equations also assume that the long pipe is flat which is probably not the case for very long gas pipelines, to take this into account a term of potential energy must be added.
This can be applied to the different equations expressing the volumetric flow of gas (q'h) :
With :
ϕ = potential energy term (account for changes in elevation along
the pipe layout) = 
DZ = difference of elevation along the pipe (ft)
Pavg' = average pressure = 
Zf,avg = it is the compressibility factor of the gas defined at Tavg and Pavg
The compressibility factor must be calculated separately at Tavg and Pavg and used in the equation.
When those corrections are applied to the simplified isothermal equation, the new expression is then :

You can access to an Excel calculation tool in order to estimate the flow of gas in long pipeline : Long pipelines gas flow calculation (click here)
Warning : this calculator is provided to illustrate the concepts mentioned in this webpage, it is not intended for detail design. It is not a commercial product, no guarantee is given on the results. Please consult a reputable designer for all detail design you may need.
